2025年貴州新高考二卷英語及全科試卷真題更新
2025年貴州新高考采用“3+1+2”模式,考生需參加語文、數學、外語統考,以及物理/歷史首選科目和兩門再選科目考試。其中語文、數學、外語采用新高考二卷,由教育部統一出題,首選科目及再選科目由貴州省自主命題。本文將為考生整理全科試卷真題及答案解析,為考生提供精準參考!
一、2025年貴州新高考二卷語文試卷真題及答案解析
考試時間:6月7日9:00-11:30
作文題目已更新:
閱讀下面的材料,根據要求寫作。(60分)
“昨夜閑潭夢落花”“我欲因之夢吳越”“鐵馬冰河入夢來”……夢往往以一種獨特的方式呈現我們的感受和期冀,為我們打開更浩瀚的天空。我們也常常向別人講述自己的夢,用文字記錄自己的夢,以行動實現自己的夢。
如果有一天,我們能夠將夢贈予他人……
以上材料引發了你怎樣的聯想和思考?請寫一篇文章。
要求:選準角度,確定立意,明確文體,自擬標題;不要套作,不得抄襲;不得泄露個人信息;不少于800字。









本場考試的結束時間為11:30!試卷真題和答案解析將在考試結束后盡快更新,請考生及時關注本文最新內容!
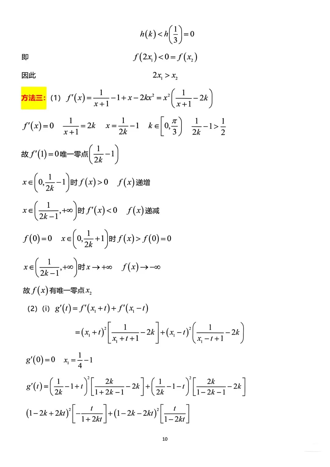
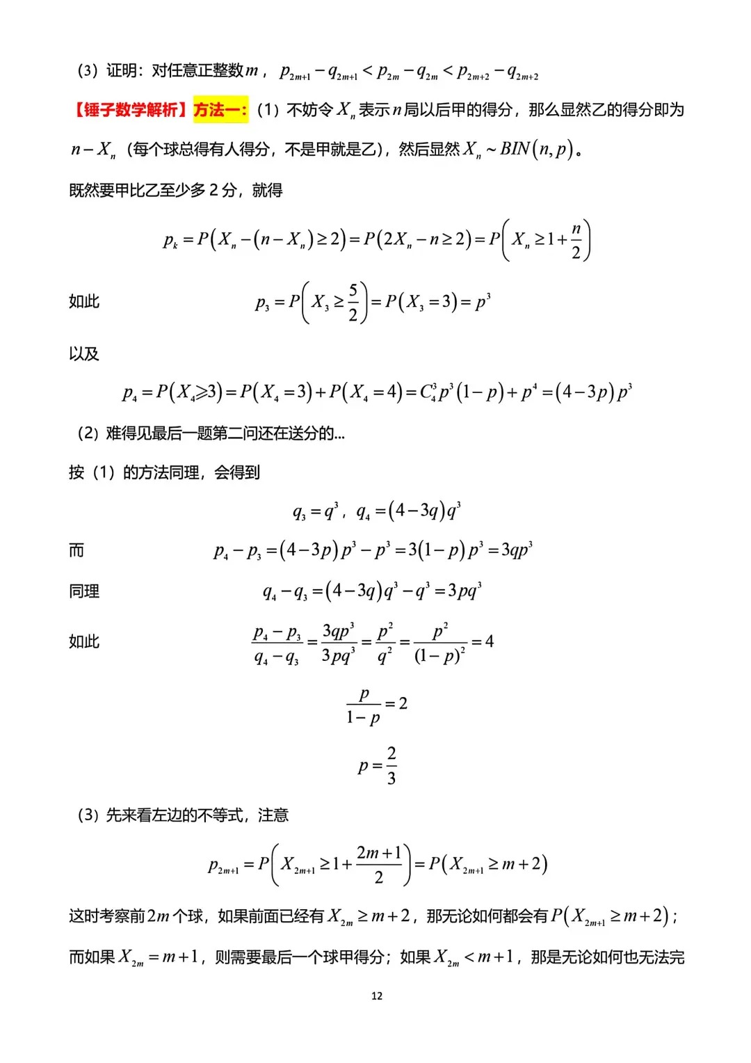
二、2025年貴州新高考二卷數學試卷真題及答案解析
考試時間:6月7日15:00-17:00

















本場考試的結束時間為17:00!試卷真題和答案解析將在考試結束后盡快更新,請考生及時關注本文最新內容!
三、2025年貴州新高考二卷外語(英語)試卷真題及答案解析
考試時間:6月8日15:00-17:00本場考試的結束時間為 17:00!試卷真題和答案解析將在考試結束后盡快更新,請考生及時關注本文最新內容!
四、2025年貴州物理/歷史試卷真題及答案解析
1.物理考試時間:6月8日9:00-10:15
物理模擬試題 1:
一物體從貴州某喀斯特溶洞頂部由靜止下落,已知溶洞高度為 50 米,空氣阻力忽略不計,求落地時間。
答案解析:根據 h=0.5gt2,t=√(2h/g)=√(100/9.8)≈3.19 秒(公式 2 分,計算 3 分)。
2.歷史考試時間:6月8日9:00-10:15
歷史模擬試題 1:
分析三線建設對貴州工業布局的影響。
答案解析:促進工業內遷(2 分)、完善基礎設施(2 分)、推動產業升級(2 分)。例如,六盤水煤炭基地 1972 年礦井規模達 1627 萬噸 / 年,成為西南能源樞紐。
本場考試的結束時間為 10:15!試卷真題和答案解析將在考試結束后盡快更新,請考生及時關注本文最新內容!五、 2025年貴州化學/地理/政治/生物試卷真題及答案解析
化學考試時間:6月9日8:30-9:45
地理考試時間:6月9日11:00-12:15
政治考試時間:6月9日14:30-15:45
生物考試時間:6月9日17:00-18:15
本場考試的結束時間為 18:15!試卷真題和答案解析將在考試結束后盡快更新,請考生及時關注本文最新內容!
六、考后行動建議
科學估分:結合真題解析與評分細則,客觀題嚴格核對,主觀題按“得分點”逐項評估,誤差控制在±5分內。
了解政策:了解貴州省“3+1+2”模式的錄取規則,如物理類與歷史類的專業組差異。參考2024年分數線:本科批歷史類442分、物理類380分,合理定位目標院校。
志愿填報準備:根據估分范圍,篩選“沖、穩、保”三類院校。關注貴州省教育考試院官網及目標院校招生章程,避免因單科成績、體檢要求等退檔。
2025 年貴州新高考二卷的全科解析將持續更新,考試結束后,建議優先完成志愿填報準備工作,同時合理規劃假期生活。
(責任編輯:劉濤)
特別說明:由于各省份高考政策等信息的不斷調整與變化,育路高考網所提供的所有考試信息僅供考生及家長參考,敬請考生及家長以權威部門公布的正式信息為準。




